Science based. Research driven.®
Keeping the informed and scientific beat on amino acid and fatty acid nutrition for dairy cattle.
Supplementing Rumen-Protected Methionine during the transition period under artificially induced heat stress improves metabolic and performance outcomes for cow and calf
Heat stress during the transition period in dairy cows can impair both maternal performance and offspring development. Reduced DMI, lower milk yield and composition, and compromised fetal growth are commonly observed. Methionine, a key amino acid and methyl donor involved in protein synthesis and one-carbon metabolism, plays a critical role in immune modulation and fetal development. Supplementation with rumenprotected methionine (RPM) has been shown to increase milk yield and protein, improve metabolic status, and positively influence calf development, potentially through epigenetic mechanisms. A recent study was conducted at the University of Wisconsin – Madison to investigate the effects of RPM supplementation on cow-calf performance during the transition period under controlled, artificially induced heat stress conditions.
Six weeks before expected calving, fifty-three multiparous Holstein cows were fed a control diet (CON, 2.2% Met of MP) or a CON diet supplemented with RPM (MET, 2.6% Met of MP). Four weeks precalving, all MET and half CON cows were fitted with an electric heated blanket (EHB). The other half of the CON cows were considered thermoneutral (TN) and given one of 3 treatments: a control diet under thermoneutral conditions (CONTN), a control diet under heat stress induced via EHB (CONHS), or a control diet supplemented with RPM under EHB induced stress (METHS).
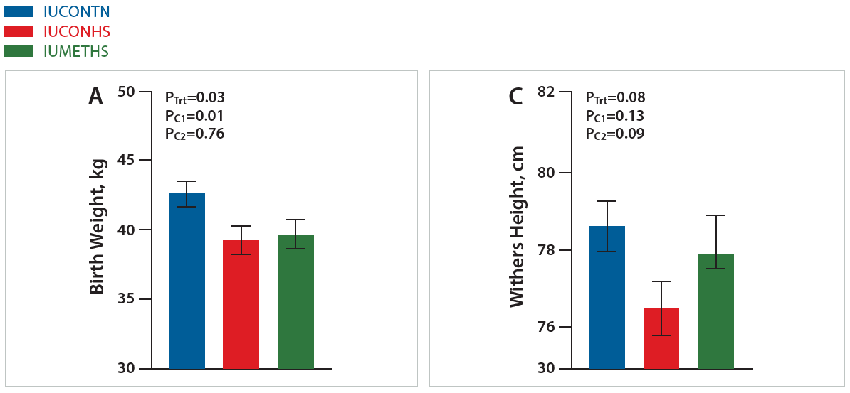
Table 1 presents lactation performance parameters from multiparous cows exposed to heat stress or thermoneutral conditions and fed diets supplemented or not with RPM. Figure 1 presents weekly plasma concentrations of glucose and BHB of the cows on treatment, while Figure 2 shows weekly plasma concentrations of glucose of those dams. Lastly, Figure 3 shows birth weight and withers heights on 24 h old heifer calves born from dams on treatment.
Table 1. Feed intake and lactation performance parameters from multiparous cows exposed to heat stress or thermoneutral conditions and fed diets supplemented or not with rumen-protected methionine (RPM).
| Treatments1 | P-value | ||||||
|---|---|---|---|---|---|---|---|
| CONTN | CONHS | METHS | SEM | Trt | C1 | C2 | |
| DMI, lb/d | 38.8 | 38.6 | 38.4 | 1.15 | 0.98 | 0.86 | 0.90 |
| Yield, lb/d | 83.3 | 83.1 | 81.6 | 3.40 | 0.92 | 0.79 | 0.75 |
| ECM, lb/d | 123.0 | 118.6 | 121.3 | 5.22 | 0.84 | 0.63 | 0.74 |
| SNF, % | 9.19 | 8.89 | 9.34 | 0.07 | 0.0002 | 0.37 | 0.0001 |
| Protein, lb | 2.80 | 2.62 | 2.82 | 0.09 | 0.31 | 0.50 | 0.17 |
| Protein, % | 3.31 | 3.15 | 3.33 | 0.04 | 0.004 | 0.15 | 0.003 |
| Fat, lb | 4.43 | 4.19 | 4.37 | 0.20 | 0.67 | 0.47 | 0.61 |
| Fat, % | 5.07 | 4.84 | 4.96 | 0.20 | 0.72 | 0.48 | 0.70 |
1CONTN = control diet under thermoneutral barn conditions; CONHS = control diet under artificially induced heat stress; METHS = control diet supplemented with rumen-protected methionine under artificially induced heat stress. *Significance was declared at P-value ≤ 0.05; tendency was declared at 0.10 ≥ P-value > 0.05. Contrast 1 (C1) = CONTN vs. CONHS and METHS; Contrast 2 (C2) = CONHS vs. METHS.

Figure 1. Weekly plasma concentrations of glucose (A) and BHB (D) of multiparous dams fed a control diet under thermoneutral barn conditions (CONTN, blue line and circles), fed a control diet and exposed to artificially induced heat stress (CONHS, red line and squares), or fed a control diet supplemented with rumen-protected methionine and exposed to artificially induced heat stress (METHS, green line and triangles) for the last 4 weeks of gestation and for the first 4 week of lactation.

Figure 2. Birth weight (A) and withers heights (C) from 24 h old heifer calves born from multiparous dams fed a control diet at thermoneutrality (IU-CONTN, blue bars), fed a control diet under artificially induced heat stress (IU-CONHS, red bars), or fed a control diet supplemented with rumen-protected methionine under artificially induced heat stress (IU-METHS, green bars). Diets were fed for 6 week precalving, and heat stress was induced for the last 4 weeks of gestation.